🚀 Let's take a brief step back to theory: our mission today is to understand how an LLC Converter achieves ZVS on the primary side.
View in browser

Hello everyone, Sotiris here! 👋

 

📫 Welcome to a new Frenetic Newsletter!

🧑‍🏫 This week, we're taking a brief step back to revisit the theory, as, in my opinion, the journey of exploration in the Magnetics world never truly ends. While we've covered several topics in our past Newsletters, I’ve realized there are still some unexplored subjects that deserve our attention.

 

When we initiate an in-house Magnetics design for our clients, one of the first questions that stands out is whether the magnetizing inductance selected has the appropriate value. The easiest answer would be to entrust this decision entirely to the client and not to question the choice. Yet, I've come to realize that this approach may not benefit us in the long run.

 

☕ Let’s start!

Our mission today is to understand how an LLC Converter achieves ZVS on the primary side. The zero-voltage switching in an LLC Converter is directly linked to the magnetizing inductance of the Transformer and the output parasitic capacitance Coss of the mosfets that form the full/half driving bridge.

 

🕵️ For this Newsletter I had a couple of references. I always want to grasp every part of an equation by seeking to prove it, which usually brings me to a deeper understanding. And that’s exactly what we’re going to do today, starting from an LTspice schematic you are all familiar with.

    NL 74 - 1

    Figure 1. An LLC Converter

     

    As you can see in Figure 1, I have used a simple trick for the Transformer model: I kept the series and magnetizing inductances separate and used an ideal Transformer utilizing high inductance perfectly coupled inductors. That way, I could monitor the magnetizing current going through Lm (L4) and that going to L3, thus the load eventually. L7, L2 secondaries are sized at 1H/n^2, where n is the turns ratio.

     

    ⚠️ What else is important in that schematic?

    Switches S2, S3 are working like on/off switches using the Rds_on of the selected mosfet each time. The important part is putting a couple of capacitors in parallel with these to model the output parasitic capacitance. That parameter can be found in the respective datasheets of the selected device. However, there is a trap here!

     

    🤔 Is the output capacitance calculated based on time, or energy?

    The output capacitance changes dynamically in mosfets when switching, ranging from a few picofarads to a few nanofarads, as the voltage on the drain-source pins drops from a high to a low potential. The manufacturer has constructed an artificial effective capacitor that either gives the same stored energy value or the same charging time.

     

    Looking at Figure 2 helps to better understand what I’ve just described.

     

    NL 74 - 2

    Figure 2.  IPW90R120C3 power mosfet Coss values

     

    ⚙️ An example design – case study.

    I have used the worked example in SLUA923 reference below, to help the reader. The specs are listed in Table 1.

    NL 74 - Table 1

    Table 1. Example LLC Converter/Transformer specs 

     

    🔎 The first thing when looking to achieve ZVS is to realize the working mechanism that causes the parasitic capacitances to be discharged. Without getting into many details, the resonant current in an LLC circulates through the LLC network and the power switches, causing ZVS of the latter. Part of the current is flowing through the magnetizing inductance Lm and part “flows” to the load through the ideal Transformer.

    NL 74 - 3

    Figure 3. Switching currents and bridge node voltage

     

    In Figure 3, the total current through the LLC tank marked as Itotal is L1’s current. Imag as the name suggests is Lm current. The difference of these currents flows into the ideal Transformer. Right at the switching transitions the Itotal equals Imag , and we can assume that this is practically constant during the transitions.

     

    📊 The rate of voltage rise dv/dt of the switching transition depends on the total capacitance to be charged/discharged (2*Coss_tr) and the actual peak current level, as shown in the figure above. The usual 50-100ns of rise/fall times in 400V systems yields good results overall.

    NL 74 - Formula 1

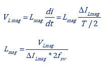
    ⚡The magnetizing current swings triangularly from a maximum positive to a maximum negative value in T/2 as seen in Figure 3. At the moment of switching to get the 1.28A we just calculated, the current need to swing from -1.28A to +1.28A thus a ΔΙ=2Imag is the current swing.

     

    Using the basic formula for an inductor:

    NL 74 - Formula 2

    The voltage at the magnetizing Inductor is approximately half of the switching voltage because of the DC bias removal action of the resonant capacitor. So, in the end:

    NL 74 - Formula 3

    🎯 To achieve 100ns of switching time (0-100% of the voltage) we should select the magnetizing inductance below 332μH. Checking out LTspice in Figure 4 we can verify the correctness of the previous steps.

    NL 74 - 4

    Figure 4. Switching time at ~95ns close to the 100ns target

     

    📈 Proper selection of the magnetizing inductance ensures ZVS conditions over an extensive input voltage range. Of course, lowering the magnetizing inductance comes with the price tag. Reduced efficiency number at light loads (especially) is observed because of the increase in resonant current.

     

    😎 I hope you've enjoyed the read! Stay tuned for the next one. 

    -------------------------------------------

     

    📚 Download our latest technical article, and boost your expertise in Power Converter Optimization! 

    In the complex world of Power Converters, finding the sweet spot in operating frequencies isn't a one-size-fits-all equation. 

     

    🤌 But where does one begin the optimization journey?

    📥 Well, you can start by downloading our article here.

     

     

    References

    • [1] O’Loughlin, M. (2018) Improving ZVS and Efficiency in LLC Converters - SLUA923. tech. Texas Instruments Incorporated.

    Sotiris Zorbas, MSc 

    Power Εlectronics Εngineer 

    +34 915 29 60 07
    www.frenetic.ai
     
    small logo

    Mag & Mad, Calle Jorge Juan, 137, Madrid, Madrid 28028, Spain

    Unsubscribe Manage preferences